第114話
 数列を考えよう
 

 
「主な目的」
今回の対象者は、線形漸化式と特性方程式に興味を持っている方です。具体的には、線形漸化式を解く際に、特性方程式を利用するとうまく行くことを経験しているけれど、特性方程式の由来を知らない人たちです。線形漸化式を解ける形に変形していくと、必然的に特性方程式が出てくるというところを楽しみましょう。
 
 
本 文 目 次
 1.はじめに
 3.漸化式
 5.おわりに
 
著者 坂田 明治
 

 
 
第114話 数列を考えよう
 
1.はじめに
 今回の話題は数列です。数列は、読んで字のごとく、ただ数を並べただけです。例えば、以下のような例です。
 
 
 
 式(1)のように、有限個の数を並べたものは有限数列、式(2)のように、無限個の数を並べたものは無限数列です。本稿では、一般項の算出に重点を置くため(要するに極限は考えない)、有限数列と、無限数列の区別は考えません。
 
 ところで、人間が数を並べていくと、どうしても同じパターンの繰り返しになったり、何らかの規則性を使ってたりします。ウソだと思ったら、手で100億項までの数列を書いて試しましょう(オレは100項まですら書けなかったもんね)。
 
 こう書くと、「円周率小数展開から、各桁の数字を取って並べると乱数になるじゃないか。」と言う人が出てきます。
 
 
 まあ、文脈から明らかなように、「円周率の小数展開から、各桁の数字を取って並べる。」という規則を使っていますね。
 
 そこで、本稿では、数列の各項に何らかの規則がある場合について扱いましょう。
 
 
2.等差数列と等比数列
 さて、数列を考えていく上で、一番簡単な数列は式(1)や式(2)でしょう。まあ、どっちでもよいので、式(2)の方で考えて行きます。なお、今回、自然数といったら、1からということにします。そうすると、自然数は、1から始めて、1ずつ増えて行くので、一つ前の項を引くと式(4)のようになります。
 
 
 式(4)の数列を式(5)と表記すると、
 
 
の特徴は式(6)となります。
 
 
 定数 a と定数 d を用いて、式(6)をもっと一般的にして、式(7)が考えられます。
 
 
 式(7)は基本的な数列と考えられるでしょう。これは、初項 a 、項差 d の等差数列ですね。ここから一般項を求めるには、式(7)をずらして並べ、その総和をとります。
 
 
 すると、式(9)のようになりますね。
 
 
 n を n - 1 と書き換えて一般項は式(10)のようになります。
 
 
 次に、足し算を掛け算に換えてみましょう。例えば式(11)です。
 
 
 式(11)の数列を式(12)と表記すると、
 
 
の特徴は式(13)となります。
 
 
 定数 b と定数 r を用いて、式(13)をもっと一般的にして、式(14)が考えられます。
 
 
 式(14)は、初項 b 、項比 r の等比数列ですね。ここから一般項を求めるには、式(14)をずらして並べ、その総積をとります。
 
 
 すると、式(16)のようになりますね。
 
 
 n を n - 1 と書き換えて一般項は式(17)のようになります。
 
 
 
3.漸化式
 等差数列と等比数列を、もう少し拡張してみよう。
 
 等差数列は、式(7)から、式(18)のように書け、
 
 
等比数列は、式(14)から、式(19)のように書けます。
 
 
 それならば、この二つを混ぜて、式(20)のような数列を考えてみましょう(A = 1 では等差数列になってしまい、面白くないので排除)。なお、式(20)を1階の漸化式と呼びます。
 
 
 式(20)の一般項は求まるでしょうか、考えてみましょう。
 
 まず、邪魔なのはBです。これが無ければ楽勝なのに・・・。ということで、「邪魔者は消せ。」なんて方針はどうでしょう。
 
 それには、各項にBを繰り込んでしまえばよさそうです。つまり、式(21)ですね。
 
 
 移項して、
 
 
式(20)と比較して、
 
 
これを整理して、次の式(24)が得られます。
 
 
 式(24)を式(20)の特性方程式と呼んでいます(1階の漸化式をうまく等比数列に変形するので、名称は妥当ですね)。
 
 式(21)と式(24)から、一般項は以下のように求まります。
 
 
 こうしてみると、式(20)の定数項は面倒なだけで、式(21)のように、各項に繰り込んでしまえば無視できそうですね。以下、面倒なので無視しましょう。
 
 今までは、隣りあう2項だけの関係でしたが、これをもっと先まで考えてみましょう。例えば、フィボナッチ数列です。どんな数列かという以下です。
 
 
 最初の方の項を書くと、式(27)です。
 
 
 ということで、意味がありそうだから、式(28)のような数列を考えましょう。なお、式(28)を2階の漸化式と呼びます。
 
 
 どうやって一般項を求めましょうか。式(28)は3項の関係式なので、何らかの方法で、2項の関係式に落とせばなんとかなる可能性が出てきますね。それで、式(21)を参考にして、式(29)のように置いてみましょう。
 
 
 これを整理すると、
 
 
式(28)と比較して、式(31)が出てきます。
 
 
 式(31)を見ると、 s 、 t は式(32)の解であることが解かります。
 
 
 式(32)を式(28)の特性方程式と呼びたくなりましたよね。式(32)は2次方程式なんで、解は簡単に求まります(しかもBの条件から 0 ではない)。
 
 とりあえず、式(29)で、 n をどんどんずらして行くと、
 
 
 となります。 s が邪魔だけど、「邪魔者は消せ。」方式ではうまく行きません。こういう手強い相手に対しては、「やっかいな奴は仲間に引き込め。」方式を使ってみましょう。以下のように仲間に引き込んでしまいます。
 
 
 こうしておいて、やっぱり、 n をずらして総和を取れば、
 
 
 となります。
 
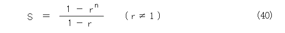
 おっと、手抜きして、等比数列の和を求めていないことが祟って(たたって)きました。やっぱり手抜きはいけないなー(いつも手抜きばっかりじゃないか)。それじゃー、ちゃんとやるか。以下の式(36)を考えましょう。
 
 
 うーん、手抜きはしない方がいいかなー。既に祟られたしね。じゃー、場合分けをしよう。
 
 式(36)を見ると、 r = 1 のときと、そうでないときに場合分けしなくてはなりませんね。
 
 まず、 r = 1 のときは、明らかに式(37)です。
 
 
 次に、そうでないときは、式(36)の両辺に r を掛けて式(38)を作ります。
 
 
 式(36)から式(38)を引いて、
 
 
 Sについて解いて、が求まります。
 
 
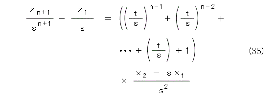
 これで、式(35)の右辺が求まります。最初に、簡単と思える方から求めてみましょう。
 
  t と s が等しいとき、式(35)は以下のようになります。
 
 
 これを解いて、 n を n - 1 に置き換えて式(42)が求まります。
 
 
 次に、 t と s が等しくないとき、式(35)は以下のようになります。
 
 
 これを解いて、 n を n - 1 に置き換えて式(44)が求まります。
 
 
 式が複雑で面倒だな。でも、まあ、式(32)を式(28)の特性方程式と呼ぶのは妥当ですね。方程式の係数に関しては、何も書いてなかったけど、当然、複素数でも構いません。複素数係数の方程式の解について知りたい人は、第105話を見ましょう。
 
 なお、フィボナッチ数列(式(26))の一般項を求めるのは読者の宿題だもんね。
 
 後の都合があるので、式(28)の一般項を簡単な形にまとめておきましょう。式(28)の一般項は、特性方程式の解を t 、 s として、定数を全部まとめて繰り込んで新たな定数とすると、
 
 
 となります。
 
 
4.3階の漸化式
 もう、既に、2階の漸化式で、式がごちゃごちゃで面倒になっています。3階の漸化式になったら、なおさら面倒になると予想がつきますよね。その上、特性方程式が3次になると思われるし、3次方程式の解なんて見たくもありません。
 
 ともかく進むことにします。まず、3階の漸化式は以下です。
 
 
 2階の漸化式の経験から、式(46)の特性関数は式(47)と推定されるでしょう。
 
 
 それから、2階のときは、解そのものよりも、解と係数の関係の方が重要でしたね(式(28)から式(29)を作るため、式(30)、式(31)、式(32)を使うところ)。
 
 同じように考えて、 s 、 t 、 u を、
 
 
となるようにしてみましょう。
 
 そうすると、式(46)は以下のようになります。
 
 
 これを、式(29)を参考に変形してみましょう。
 
 
 式(29)とそっくりな式が出てきました。定数を全部まとめて a とおくと(以下、記載が面倒なので全部この手抜きを使う)、式(51)となります。
 
 
 この左辺を変形すると、式(52)のようにできます。
 
 
 よって、式(52)を使うと、式(51)は以下のようになります。もうできたようなものですね。このように、うまく行くことから、式(47)を式(46)の特性関数と呼ぶのは妥当でしょう。
 
 
 さて、2階のときの経験から、重解を持つときと、そうでないときに場合分けをする必要がありそうです。今回、特性方程式は3次なので、3重解と、2重解と単解、単解のみの三つに場合分けをしなくてはならないよね。
 
 最初は3重解を持つときです。 s 、 t 、 u は全部等しいので、 s に統一しましょう。
 
 
 ちょいと変形すれば、式(55)となりますね(「やっかいな奴は仲間に引き込め。」方式)。
 
 
 これは等差数列と同じようなものだから式(56)が成り立ちます。
 
 
 更に、等差数列と同じようなところに注目して、式(57)が出てきます(右辺の和をとったときに自然数の和が出てくるが、これは自分で計算すること。 ← 手抜き!)。
 
 
 したがって、3重解を持つとき、一般項は、
 
 
となります。
 
 2重解のときは、 s を単解、 t を2重解とし、同様にして、式(53)から操作して行き、一般項は、
 
 
となります。
 
 更に、 s 、 t 、 u が単解のときも、同様にして、式(53)から操作して行き、一般項は、
 
 
となります。
 
 ここまでやれば、4階の漸化式のときはどうなるか想像がつくでしょう。挑戦してみることをお勧めします。
 
 
5.おわりに
 よく、漸化式を解く際に、特性方程式を使うが、どうして特性方程式が出てくるのか、その由来を知らない人がいます。今回は、そういう人を念頭に置いて考えてみました。理科好き子供の広場で何度も書いていますが、天下り的に与えられた方法を使いこなせるだけでよいとは思いません。どうしてそうなるのか、よく考えてみる事も重要だと信じています。そして、そのためには、あえて舗装された道路から外れて、でこぼこ道を自分で進む必要があるのではないでしょうか。この点、本稿を読まれた方はどうお考えでしょうか。
 
 
2022年12月9日
著作者 坂田 明治(あきはる)
 

Copyright (C) 2011-2026 by Rikazukikodomonohiroba All Rights Reserved.